پروژه تولید دی متیل فرمامید
پروژه تولید دی متیل فرمامید در پایین دست طرح تولید متیل آمین ها قرار دارد.
در واقع محصول دیگری که در دستور کار شرکت سرمایه گذاری سیگلو جهت انجام سرمایه گذاری و بهره برداری قرار گرفت، تولید یکی از مشتقات متیل آمین های به نام دی متیل فرمامید است که در کنار طرح متیل آمین ها پیاده سازی و اجرا خواهد شد.
ظرفیت تولید سالانه دی متیل فرمامید به صورت سالانه 24000 تن است و توجه داشته باشید که یکی از مهمترین خوراک های این واحد منواکسید کربن (HYCO) با ظرفیت 12000 تن در سال می باشد که همزمان با واحد DMF در پروژه پتروشیمی سیگلو به بهره برداری خواهد رسید.
| ردیف | واحد | مواد تولیدی | ظرفیت(تن بر ساعت) |
|---|---|---|---|
| 1 | تولید هیدروژن و مونوکسیدکربن | H2 & CO (HYCO) | 12000 |
| 2 | تولید دی متیل فرمامید | C3H7NO (DMF) | 24000 |
شرح فرآیند واحد تولید هیدروژن و مونوکسیدکربن (HYCO) در پروژه تولید دی متیل فرمامید
واحد تولید هیدروژن و مونوکسیدکربن شامل مراحل زیر می باشد:
- بخش خالص سازی خوراک ورودی: از آنجایی که ترکیلات سولفوردار باعث غیرفعال کردن کاتالیستهای ریفرمر میشود و همچنین سبب تولید هیدروژن سولفید نیز میشود گاز طبیعی ورودی به بخش خالص سازی ارسال میگردد، همچنین در صورت کمتر بودن فشار ورودی از فشار فرآیندی ، ممکن است به کمپرسور گاز احتیاج گردد. نیاز به کمپرسور و خالص سازی با لایسنسور نهایی سازی میگردد.
- بخش پیش گرمکن و افزودن هیدروژن: گاز طبیعی با تعدادی مبدل حرارتی قبل از راکتور هیدروژناسیون تا دمای حدود 380 درجه سانتی گراد گرم میگردد، همچنین مقداری هیدروژن به گاز طبیعی اضافه میگردد.
- هیدروژناسیون در حضور کاتالیست: ترکیبات گوگرد دار آلی با هیدروژن واکنش می دهند، واکنش های اصلی هیدروژناسیون شامل موارد زیر می شود:

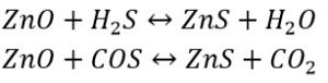
- حذف سولفور: به منظور حذف سولفور گاز به برج جذب سولفور ارسال میگردد که در آن گوگرد از هیدروژن سولفید مطابق واکنش

همچنین اگر گاز شامل کربن دی اکسید باشد، آب تولید میگردد.
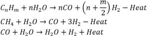
- ریفرمینگ: در بخش ریفرمیگ مخلوط گاز طبیعی و بخار آب مطابق واکنشهای زیر در حضور کاتالیست تبدیل به هیدروژن و مونوکسیدکربن میشوند.

- سردسازی شامل Coldbox و حذف کربن دی اکسید: به منظور حذف کربن دی اکسید، گاز به برج جذب وارد می گردد، واکنش های اصلی جذب کربن دی اکسید شامل موارد زیر می باشد:

شرح فرآیندی واحد تولید دی متیل فرمامید(DMF)
در تولید دی متیل فرمامید با فرمول (C3H7NO) با واکنش دی متیل آمین و مونوکسید کربن، ماده اولیه دی متیل آمین باید خلوص بالایي داشته باشد به دلایلي که در ادامه توضیح داده مي شود. واکنش دی متیل آمین و مونوکسید کربن در حضور یک کاتالیزور فلز قلیایي انجام مي شود.
علاوه بر این، اگر دی متیل آمین حاوی آمونیاک و سایر آمینها باشد، آمیدهای مختلفي در طول سنتز دی متیل فرمامید تولید ميشوند. این آمیدهای تولید شده جانبي عبارتند از: فرمامید، -Nمتیل فرمامید، -N دی متیل استامید و موارد مشابه.
دی متیل فرمامید باید از نقطه استفاده از کیفیت بالایي برخوردار باشد. یعني نه تنها باید خلوص بالایي داشته باشد، بلکه نیازهای فیزیکي خاصي را نیز برآورده کند. به عنوان مثال، هنگامي که دی متیل فرمامید به عنوان حلال پلیمریزاسیون برای تولید چرم مصنوعي مبتني بر پلي یورتان و الیاف مصنوعي استفاده مي شود، سرعت واکنش افزودن یک ترکیب هیدروژن فعال، مانند پلي ال، با ایزوسیانات تحت تأثیر کیفیت دی متیل فرمامید قرار ميگیرد. بنابراین، در استفاده عملي، دی متیل فرمامید باید دارای خلوص بالا و پایداری بالا باشد به ویژه دی متیل فرمامید نباید رسانایي الکتریکي بیش از 1,0 μ/cm داشته باشد و pH محلول آبي 20 درصد باید حدود 6.5 تا 5.8 باشد.
به دلایل فوق در تولید دی متیل فرمامید با واکنش دی متیل آمین و مونوکسید کربن از استفاده از دی متیل آمین حاوی آمونیاک واکنش نداده به عنوان خوراک، سایر متیل آمین ها و آب و غیره خودداری شده و از دی متیل آمین با خلوص بالا به عنوان خوراک استفاده شده است. تاکنون، دی متیل آمین با خلوص بالا با واکنش متانول و آمونیاک برای تهیه متیل آمینها، جداسازی دی متیل آمین از متیل آمینها و خالص سازی دی متیل آمین به دست آمده است. در واکنش متانول و آمونیاک، مونو متیل آمین و تری متیل آمین به 4/ طور اجتناب ناپذیری علاوه بر دی متیل آمین در نتیجه تعادل تولید ميشوند. در بین این متیل آمین ها، دی متیل آمین است که عمدتاً در کاربردهای صنعتي استفاده ميشود. بنابراین، مونو متیل آمین و تری متیل آمین اضافي در سنتز متیل آمینها بازیافت ميشوند. این امر منجر به نصب دستگاهي در مقیاس بزرگتر برای تولید دی متیل آمین ميشود که متناسب با میزان تولید دی متیل آمین نیست.
در جداسازی دی متیل آمین از متیل آمین های فرعي، معمولاً از تقطیر استفاده ميشود. از آنجایي که این سه متیل آمین، یعني مونو متیل آمین، دی متیل آمین ، و تری متیل آمین، و آمونیاک واکنش نداده مخلوط های آزئوتروپیک را در میان آنها تشکیل ميدهند، تقطیر چند مرحله ای برای جداسازی دی متیل آمین از متیل آمین های محصول واکنش انجام میشود.
دی متیل آمین و مونوکسید کربن بي آب به طور مداوم به یک راکتور تخصصي که در شرایط متوسط کار ميکند و حاوی یک کاتالیزور محلول در حلال است، وارد ميشود. محصولات راکتور به یک سیستم جداسازی فرستاده ميشوند که در آن محصول خام بخار ميشود تا کاتالیزور مصرف شده جدا شود.